Matemáticas
Elipse
ELIPSE
Elipse es el lugar geométrico de todos los puntos de un plano, participantes de la propiedad relativa: que la suma de sus distancias a dos puntos fijos llamados focos es constante.


Focos de una elipse
Los focos de la elipse son dos puntos. Respecto de ellos la suma de las distancias a cualquier otro punto de la elipse es constante.
CENTRO DE UNA ELIPSE

Punto de intersección del eje mayor y del eje menor de la elipse.
EJE MAYOR DE UNA ELIPSE
Segmento de recta localizado entre los vértices de la Elipse. Su longitud
equivale a la suma de la distancia de cada foco a un punto cualquiera de la
elipse, lo que da pauta a la definición de este lugar geométrico.
EJE MENOR DE UNA ELIPSE
El eje menor 2b, es la menor distancia entre dos puntos adversos de la elipse. Los ejes de la elipse son perpendiculares entre sí.

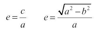
Excentricidad
Es una cantidad constante para cada elipse, se interpreta como una medida de qué tan “achatada” es la elipse. Se calcula dividiendo la semidistancia focal (de foco a centro) entre la longitud del semieje mayor. En términos de los semiejes mayor y menor se le puede calcular mediante la siguiente fórmula:
En consecuencia:
1 > e > 0
LADO RECTO
El Lado recto es la cuerda perpendicular al eje mayor que pasa por uno de los focos y su longitud la calculamos por:
ECUACIÓN GENERAL DE LA ELIPSE
Ecuación de la elipse vertical con centro fuera del origen.
Si el centro de la elipse se encuentra fuera del origen del plano y su eje focal es paralelo al eje x, se obtiene la siguiente ecuación:
(x - h)2 /a2 + (y - k)2/b2 = 1
Los elementos de la elipse son:
Centro: (h,k)
Vértices: V(h+a,k), V'(h-a,k)
Focos: F(h+c,k), F'(h-c,k)
Vértices del eje menor: B(h,k+b) B'(h,k-b)
Excentricidad: c/a
LR: 2b2/a
Ecuación de una elipse vertical
Si una elipse tiene su eje principal vertical, su ecuación viene dada por:
Los vértices son los puntos (x0 ± b, y0) y (x0, y0 ± a) y los focos son (x0, y0 ± c).
Reducir la ecuación 4x2 + 9y2 - 8x + 18y - 23 = 0. Si se trata de una elipse, hallar su centro, sus focos y sus vértices.
Resolución:
· Se agrupan los términos en x2 con los términos en x y los términos en y2 con los términos en y:
(4x2 - 8x) + (9y2 + 18y) - 23 = 0
· Se saca factor común, en cada paréntesis, el coeficiente del término de segundo grado:
4(x2 - 2x) + 9 (y2 + 2y) - 23 = 0
· Se opera en cada paréntesis hasta obtener un cuadrado perfecto:
x2 - 2x = x2 - 2x + 1 - 1 = (x - 1)2 - 1
y2 + 2y = y2 + 2y + 1 - 1 = (y + 1)2 - 1
· La ecuación se puede escribir:
4[(x-1)2 - 1] + 9[(y + 1)2 - 1] - 23 = 0
4(x - 1)2 + 9(y +1)2 = 36
· Se divide entre 36:
· Centro de la elipse: (1, -1)
· Focos: Para hallar los focos hay que observar que éstos se hallan en una recta horizontal que contiene al centro y a distancia c del mismo. Basta pues con sumar y restar c a la abscisa del centro.
Los focos son
· Los vértices se obtienen sumando y restando a las coordenadas del centro los semiejes de la elipse:
(1 ± 3, -1), lo que da los puntos (4, -1) y (-2, -1)
(1, -1 ± 2), lo que da los puntos (1, 1) y (1, -3)
http://www.sectormatematica.cl/contenidos/elipec.htm
ECUACIÓN ESTÁNDAR DE LA ELIPSE
Desarrollando esta ecuación, se obtiene:
b2x2 - 2b2x0 x + b2x02 + a2y2 - 2a2 y0y + a2y02 - a2b2 = 0,
Que se puede poner en la forma:
Ax2 + By2 + Cx + Dy + E = 0, donde A y B son del mismo signo.
La ecuación de una elipse centrada en el origen y con focos en F(c, 0) y F'' (-c, 0) es
HIPÉRBOLA
La hipérbola es el lugar geométrico de un punto P(x, y) que se mueve en un plano de tal manera que el valor absoluto de la diferencia de sus distancias a dos puntos fijos de un plano, llamados foco.
ELEMENTOS DE LA HIPERBOLA
CENTRO
Es el punto de intersección de los ejes (eje transverso y eje conjugado). Se lo representa con la letra C.
FOCO
Son dos puntos fijos F y F'. El punto medio de los focos es el centro de la hipérbola,
VÉRTICES
Los puntos A y A' son los puntos de intersección de la hipérbola con el eje focal.Los puntos B y B' se obtienen como intersección del eje imaginario con la circunferencia que tiene por centro uno de los vértices y de radio c.
EJE FOCAL: Es la recta que pasa por los focos y los vertices.
DISTANCIA FOCAL: Es la distancia de un foco hasta el otro, es decir, el segmento de longitud 2c.
EJE TRANSVERSO o eje real: Es la distancia de un vértice hastael otro, es decir, el segmento de longitud 2a.
EJE SEMITRANSVERSO: se lo representa con la letra a y es la distancia que hay desde el centro hasta cada extremo central de cada rama de la hipérbola
EJE CONJUGADO o eje imaginario: Es el segmento de longitud 2b.
La letra b representa una distancia imaginaria, la cual está regida por la relación de las constantes a, b y c

EXCENTRICIDAD
LADO RECTO
ASINTOTAS
Para trazar las asíntotas de la hipérbola se traza primero el rectángulo de lados paralelos a los ejes y que tiene por dimensiones 2a y 2b, y cuyo centro es el centro de la hipérbola. Después se trazan las diagonales del rectángulo que son las asíntotas de la hipérbola. En conclusión: Las asíntotas de la hipérbola son dos rectas a las que la curva se acerca indefinidamente sin llegar a tocarlas.
Son las rectas de ecuaciones:
ECUACION DE LA HIPERBOLA CON CENTRO EN EL ORIGEN
ECUACION DE LA HIPERBOLA CON CENTRO EN (h,k)
ECUACION GENERAL DE LA HIPERBOLA
EJERCICIOS PROPUESTOS
Encontrar las coordenadas de los focos y al longitud del eje mayor de la elipse definida por la ecuación
EJERCICIOS PROPUESTOS
Encontrar las coordenadas de los focos y al longitud del eje mayor de la elipse definida por la ecuación
Descargar
| Enviado por: | El remitente no desea revelar su nombre |
| Idioma: | castellano |
| País: | Ecuador |
